Suprime-Cam Filter System

This page describes the Suprime-Cam filters, and the transformations between the Pan-STARRS photometric system and Suprime-Cam.

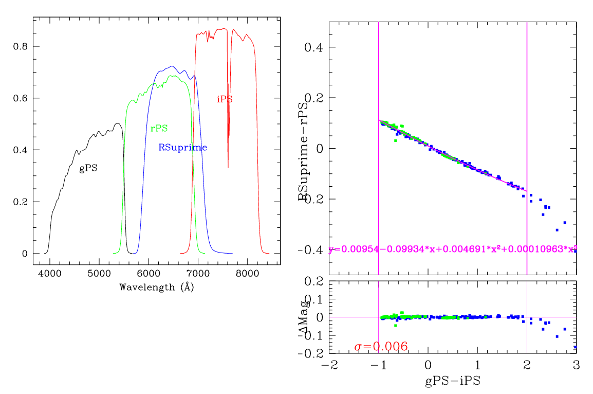
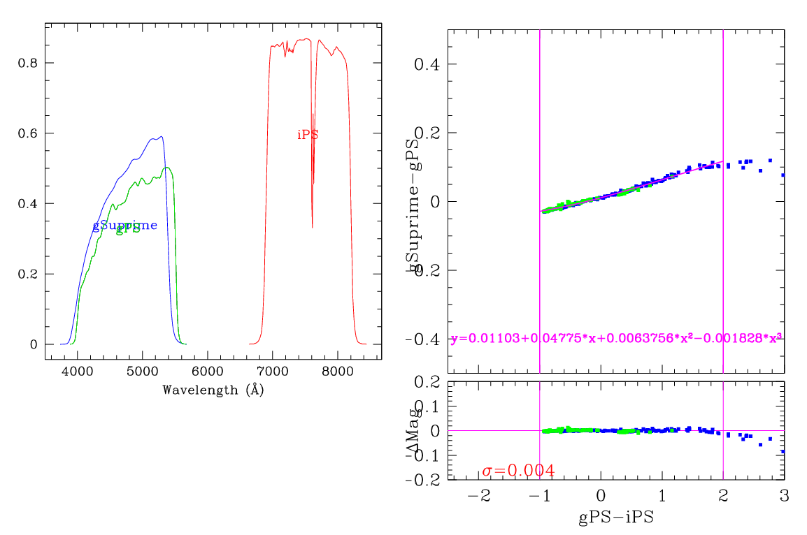
The transformations were done using (g-i)Pan-STARRS as the reference colour. The Pan-STARRS filter nearest the centre wavelength of the filter was used as the reference magnitude. The transformation was expressed as a 3rd order polynomial with x being g-i, and y being the difference between the Suprime-Cam magnitude and the reference Pan-STARRS magnitude.

The Transmission Function links point to text versions of each filter. These represent the full response of the system, including the atmosphere, the primary mirror, the Suprime-Cam optics, the filter itself and the CCDs.

Johnson-Cousins Filters
W-J-B Transmission Function
W-J-VTransmission Function
W-C-RCTransmission Function
W-C-ICTransmission Function
SDSS Filters
W-S-G+Transmission Function
W-S-R+Transmission Function
W-S-I+Transmission Function
W-S-Z+Transmission Function
W-A-YTransmission Function
Other Filters
W-J-VRTransmission Function
W-A-YTransmission Function
Intermediate band Filters
I-A-L427Transmission Function
I-A-L445Transmission Function
I-A-L464Transmission Function
I-A-L484Transmission Function
I-A-L505Transmission Function
I-A-L527Transmission Function
I-A-L550Transmission Function
I-A-L574Transmission Function
I-A-L598Transmission Function
I-A-L624Transmission Function
I-A-L651Transmission Function
I-A-L679Transmission Function
I-A-L709Transmission Function
I-A-L738Transmission Function
I-A-L767Transmission Function
I-A-L797Transmission Function
I-A-L827Transmission Function
I-A-L856Transmission Function
I-A-L907Transmission Function
Narrowband Filters
N-A-L656Transmission Function
N-B-L711Transmission Function
N-B-L816Transmission Function
N-B-L921Transmission Function

In the plots below, the left panel shows the filter curves, together with the relevant Pan-STARRS filter. The black and red curves show the Pan-STARRS g and i filters. The green curve shows the reference filter. The right panel shows the transformation itself. The green and blue dots show the Pickles and CALSPEC/a> stars. The magenta curve shows the fit, also indicated in polynomial form. The vertical lines show the colour range where this transformation is valid. </p>

Johnson-Cousins filters

W-J-B

Transmission Function

W-J-V

Transmission Function

W-C-RC

Transmission Function

W-C-IC

Transmission Function

SDSS filters

W-S-G+

Transmission Function

W-S-R+

Transmission Function

W-S-I+

Transmission Function

W-S-Z+

Transmission Function

Other filters

W-J-VR

Transmission Function

W-A-Y

Transmission Function

Intermediate band filters

I-A-L427

Transmission Function

I-A-L445

Transmission Function

I-A-L464

Transmission Function

I-A-L484

Transmission Function

I-A-L505

Transmission Function

I-A-L527

Transmission Function

I-A-L550

Transmission Function

I-A-L574

Transmission Function

I-A-L598

Transmission Function

I-A-L624

Transmission Function

I-A-L651

Transmission Function

I-A-L679

Transmission Function

I-A-L709

Transmission Function

I-A-L738

Transmission Function

I-A-L767

Transmission Function

I-A-L797

Transmission Function

I-A-L827

Transmission Function

I-A-L856

Transmission Function

I-A-L907

Transmission Function

Narrowband filters

N-A-L656

Transmission Function

N-B-L711

Transmission Function

N-B-L816

Transmission Function

N-B-L921

Transmission Function

Date modified: