Le système de filtres
Cette page décrit les filtres à bande large de MegaCam et les contraste avec les filtres SDSS et Pan-STARRS La version précédente de cette page est disponible ici.
Il y a eu trois générations de filtres à large bande pour MegaCam. Le premier génération (installé en 2002), un remplacement pour le filtre i-band endommagé, (Installé en 2007) et l'ensemble le plus récent qui sont plus grand, permettant l'utilisation des 4 CCD, les "ailes", de MegaCam (installé en 2015). Les trois générations sont affichés ci-bas. Notez la grande filtre (gri) du troisième génération.

Les transmissions du filtre indiquées incluent la transmission du télescope complet (miroir + optique + CCD). Les courbes de reflectance/transmission du miroir, l'optique et le CCD sont tirées de Betoule et al. (2013) et leur site web détaillé. Les transmissions du filtre pour la première et la deuxième génération de filtres sont également prises à partir de ce site. Les réponses des filtres de la troisième génération de filtres sont prises à partir de la page de filtre CFHT. Les courbes de réponse finale (filtre + télescope + CCD) sont données au format texte ci-dessous. Les courbes de filtre incluent également 1.25 airmasses d'atténuation atmosphérique. Les transmissions du filtre ont été mesurées à plusieurs endroits à travers le filtre. Les réponses ci-dessous sont la transmission moyenne.
- Première génération:
- Deuxième génération:
- Troisème génération:
Comparaison des ensembles des filtres MegaCam, SDSS et Pan-STARRS
Les figures ci-dessous montrent les fonctions finales de transmission de filtre MegaCam, divisées par génération, ainsi que les filtres SDSS et Pan-STARRS.

Les transformations des ensembles de filtrage SDSS et Pan-STARRS vers les filtres MegaCam et des filtres MegaCam vers les ensembles de filtrage SDSS et Pan-STARRS sont illustrées dans les figures ci-dessous. Dans chaque tracé, les points colorés représentent la photométrie synthétique, calculés en multipliant les courbes de filtre ci-dessus par des spectres de l'atlas de Pickles (1998), (en bleu) les standards CALSPEC (montrées en vert) ou un ensemble de spectres de galaxie (montrées en rouge). Les points noirs indiquent une photométrie réelle à partir de différents champs MegaCam. La ligne magenta montre l'ajustement généralement linéaire, mais de fois un polynôme. Les coefficients sont donnés en magenta sur chaque panneau. Les lignes magenta verticales indiquent les limites de validité d'une transformation.
De SDSS à MegaCam
Les relations pour les bandes griz originales proviennent de l'analyse de la groupe SNLS. La relations pour la bande u vient des pages web MegaPipe TCFH. La relation de la nouvelle filtre i a été calculé separement.

Les relations pour les nouveaux filtres sont présentées ci-dessous. Notez l'échelle élargie pour la transformation u-band, ce qui est un peu compliqué. Notez également que la transformation de la u-band ne passe pas par 0,0. Enfin, le filtre gri/large n'est pas valable pour les du côté rouge de g-i=1.75.

De Pan-STARRS à MegaCam
Suivant la convention Pan-STARRS, toutes les transfromations de Pan-STARRS à MegaCam sont exprimées en termes de polynôme de troisième ordre dans g-i. Notez l'échelle extrêmement étendue pour la bande u. Le système Pan-STARRS ne possède pas une bande u; Cette transformation est une extrapolation de la bande g. Cette transformation dépend aussi de la métallicité, donc elle depend du latitude galactique.

De MegaCam à SDSS
Première génération: Il faut être sceptique de la transformation u-band.

Deuxième génération

Troisème génération: Encore une fois, on devrait être sceptique de la transformation u-band.

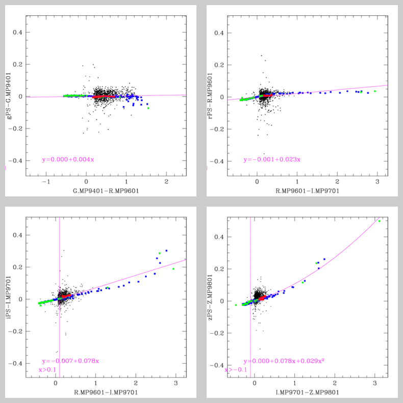
De MegaCam à Pan-STARRS
Première génération:

Deuxième génération:

Troisème génération:

- Date de modification :